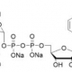
UDP-6-azido-6-deoxy-D-Glc.2Na CAS 537039-67-1
英文名
UDP-6-azido-6-deoxy-D-Glc.2Na
别名
Uridine 5′-(trihydrogen diphosphate) P’-(6-azido-6-deoxy-alpha-D-glucopyranosyl) ester
中文名
尿苷 5′-(三氢二磷酸酯) P’-(6-叠氮基-6-脱氧-alpha-D-吡喃葡萄糖基)酯
化学式
C15H21N5Na2O16P2
分子量
591.31
CAS号(或者Watson编号)
537039-67-1
EINECS号
纯度标准
Sales Outside China
Outside China, this product is sold through Watson International Limited (Ltd), and please click the link below for details. (https://www.watson-int.com/), and here is the corresponding link https://www.watson-int.com/UDP-6-azido-6-deoxy-D-Glc.2Na-cas-537039-67-1/



